风水堪舆《宅第秘要》海阳谷园老人手订.清晖阁藏版83页PDF电子书百度网盘分享下载

《宅第秘要》海阳谷园老人手订.清晖阁藏版83页-封面风水堪舆

资源信息

资源编号: 9221
文件大小: 共83页,76MB
其它:

简介

定吉凶方位歌,八宅推星定屋高低法,各宅放水法,五行所主凶象歌,五行犯尅所主疾病例,吉星失位不吉论,八宅气数,宅神七星总断吉凶歌,六十四怪形论,宅第秘要图解,却病要旨,问疾病洪范九畴,问瘟疾系乎时令岂亦有地理气化应及人身者,问齁喘哮吼咳嗽啾唧,问痰火劳病血诸病系何气化,问闭经不调气化,问崩漏气化,问生孩无乳汁因何,问瘟块血疽因何所犯,问气痛何由,问小儿抽筋急惊何以,问停滞食积犯何气化,问鼓胀,问水蛊,问黄肿系何气化,问流痰气化,问中风中痰,问风疾系何气化,问头上五行,问痰迷心邪,问头脑疾病,问偏头鼠头大头,问瘦包赘疣,问脸面病疾,问耳病,问目病,问鼻病,问重瞳四乳是何气化,问生六指是何气化,问口病齿牙唇舌分气化,问喑哑,问哽咽气化,问喉疾,问项疾,问疥疮瘫疽,问癣癞汗瘢,问疮毒,问手何以属,问足何以属,问脏腑相贯,问五脏五行,问手指怪病,问体气狐臭因何所出,问出驼腰背,问出矮子,问腿疼,问跏子跛子因何气化,问出瘫子,问弱症淋遗是何气化等。

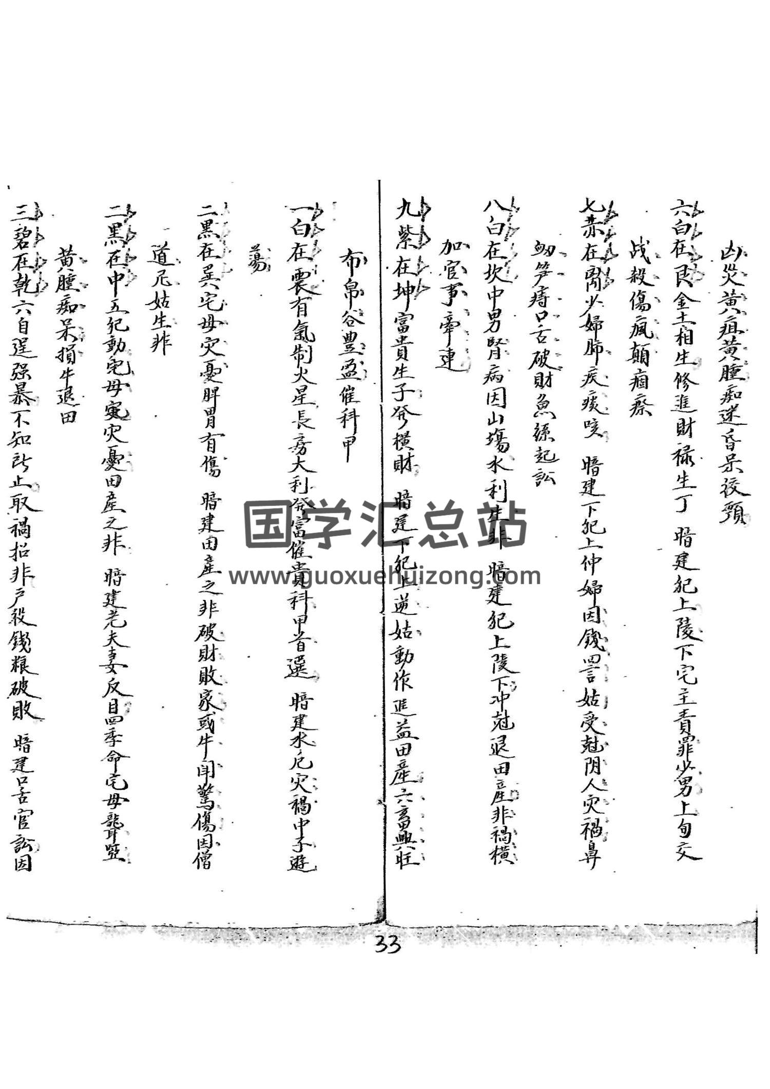
六十四怪形论

双翅形,如四隅缺陷者,是若龙旺气厚,亦发富贵,久必逃绝。

单翅形,如一边角隅缺陷者,是主淫邪逃绝。

展翅形,如左右参差不齐多出二块者,是若龙旺气厚,亦发富贵。终未免有凶祸,亦主淫邪,逃流煞曜冲之更甚。

朱雀投江形,如门首独出如刀把冲门或井塘者,是若龙旺气厚,亦发富贵,久则淫邪逃流绝嗣。

元武伸腿形,如宅一边独出单扇立,主逃流淫邪,龙旺气厚凶祸各见。

前推车形,如宅前有对厢者,是总龙旺气厚淫邪漂流在所不免。

后推车形,如宅后有对厢者,是主退则逃流淫邪。

吐舌形,如门首独出如伸舌者,是初年发福,久则淫邪败绝。

单推车形,如宅前宅后有形如刀把者,是终主子孤残疾。

当心直射形,衢衙街道水路直射宅心,考是主破财离乡。

暗箭形,如宅外有衢衙街道水路兼冲左右,或邻屋脊射中宫,皆為暗箭形,主财禄空虚,鳏寡绝嗣先伤家长。

内停丧形,如宅内有小屋,不靠东西南北墙,考无论前后主屡伤人口久而必绝。

外停丧形,如宅外小屋不连四壁,考主有外丧人口,即发富贵亦必有扛尸而还者不吉。

后停丧形,宅后有小屋不靠东西南北,考亦发财富,主小口不利又主牢狱之灾。

抬丧形,如四围有宅,中间建立二层房屋,不靠东西南北墙,考主人口频伤,六畜不利,久而必绝。

困形,如四邻高逼,仰视不见日色,人在室中闷气不足,主困穷。

囚形,如墙壁四围之内,中立一小屋,主老幼昏迷久则绝嗣。

羊蹄形,如宅中前后两边各立一屋,如钳口样,多出争斗之人,亦主痴迷多不孝。

凿破天心形,如天井中建立对厢,不靠东西南北墙,考主绝嗣。

忤逆形,如同一宅中间留一衙街,如钳口羊蹄样,多出争斗之人,亦不孝不弟之人。

元武破头形,如宅后有坑,如房后有对厢而无大房,留小隙口,考主子孙多残疾,久必败绝。

内排衙形,容厅大门之内主房之外排列对厢朝对主房,总发富贵必主淫邪。

外排衙形,大门之外有右左空围,如钳口样,初年总发富贵,久则yin乱败绝。

相斗形,如大门之内两边立二层正房,中有擁路如龙虎不相让,主同室操戈及口舌是非。

起拳形,如大门之内设立两厢,如钳口样,门在钳口之内,主父子兄弟不和,外有杀伤之祸。

内辅弼形,如同此一宅两层并排中间留一衢衙大门,设立于其中,一宅分两院于大门之内,东吉西不妥矣。

外辅弼形,如大门之外旁列两厢,如钳口様,仍各钳口定主逃流。

钩脚形,如蛇口在前,钩角在左右,考是主淫邪逃流。

川字形,多出於南北街,东西两宅外边顺街宅势长内立正房三层,无墙连接,遂陷此獘或厌此震兑之宅,冬冷夏热,偏不顺街建立正房三层,后為伴房十餘间,是為前川,前川主絶后川伤老翁,终主丁虚。。。

部分预览

以上内容由网站用户发布,如有侵权,请联系我们立即删除!联系微信:D968111