六壬古籍《鬼贼中黄五变经》上海图书馆藏本94页PDF电子书百度网盘分享下载

六壬古籍《鬼贼中黄五变经》上海图书馆藏本94页-封面六壬

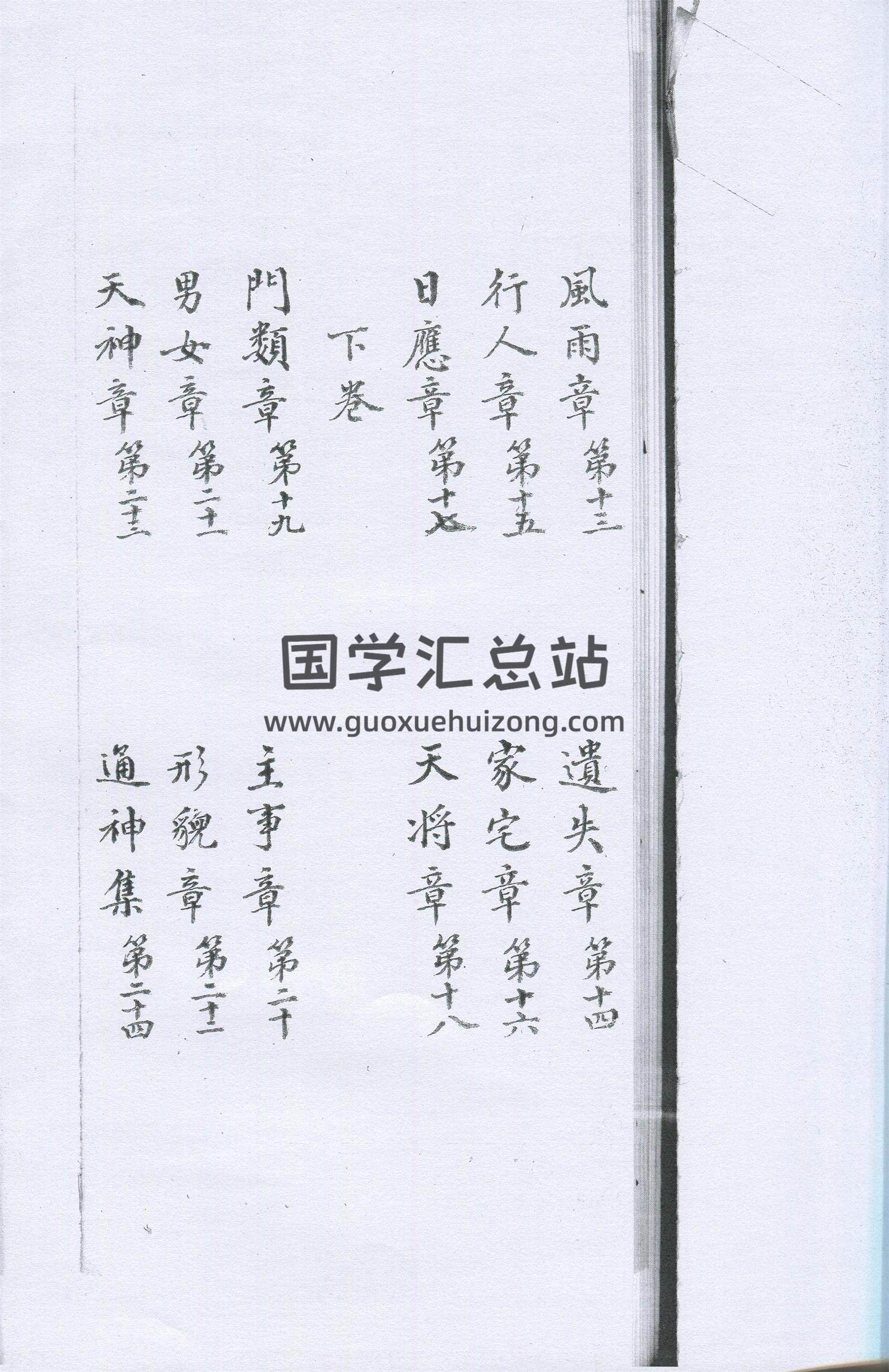
资源信息

资源编号: 8873
文件大小: 共1个文件,196MB
其它:

简介

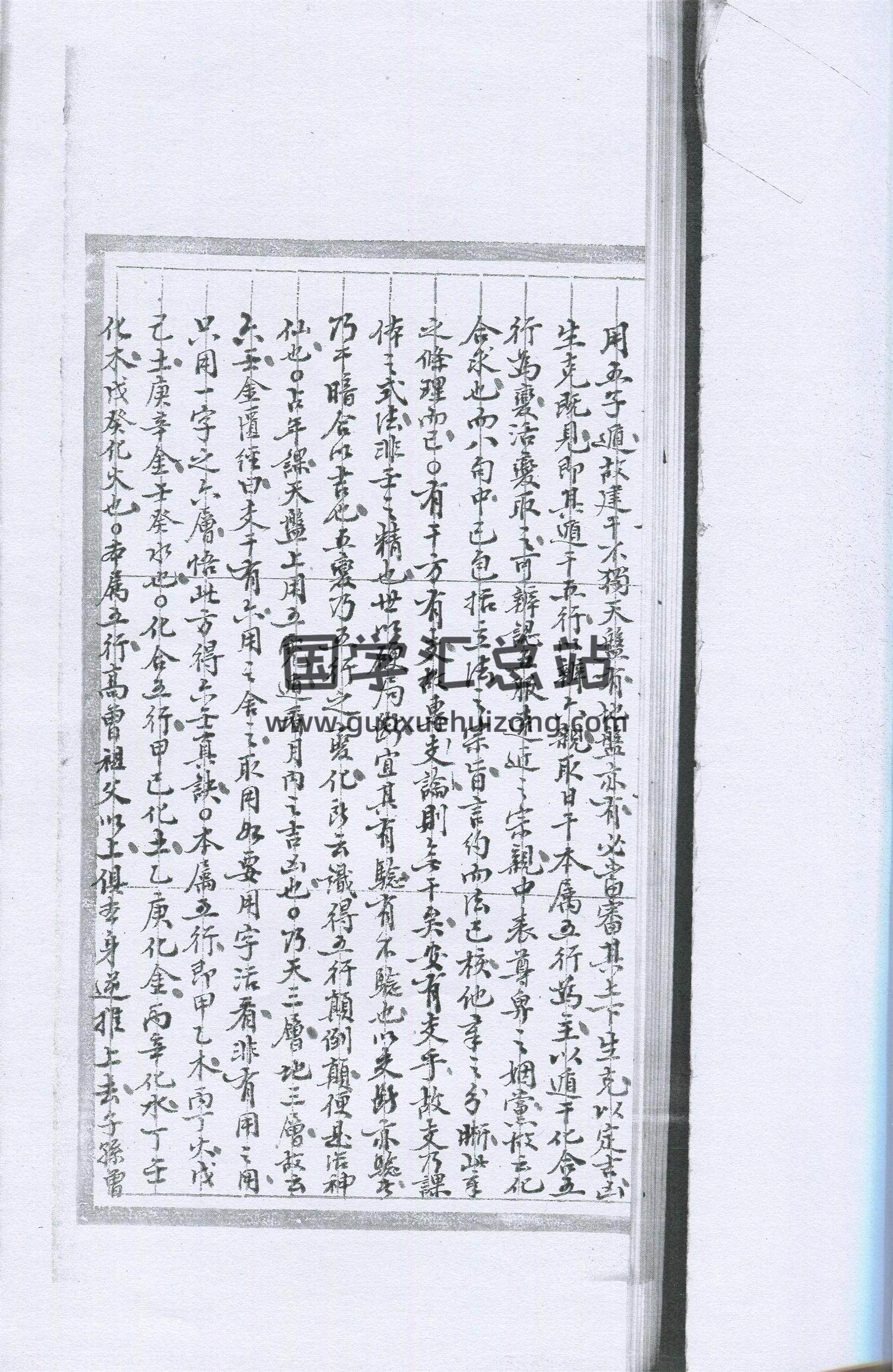
五变中黄经,明钞本 不著撰者,夫六壬者,源自轩辕夜授九天玄女秘法,置于金匮玉匣之中,破蚩尤于涿鹿,因而名之曰《金匮玉匣经断》,后益增数多,其归一揆,唯《宝鉴》三百八十六卷最为完备,其书通天地之理,察鬼神之机,逹人事之变,知吉凶进退存亡之说,以其浩汗,习之者罕。昔流于君平、李淳风、袁天罡、管辂、郭璞并明此术,今司天监张君正之亦与之齐名,郭璞者何,晋明帝时常为司天官,号曰‘凝神子’嵩山真人者是也,璞见《宝鉴》之汗漫难传,岁久湮没,因摘其关键另成一篇,名曰:《鬼贼五变中黄经》,之书大略上下运用五行干支相配五气、二马、九门,大则明十段之指归,小则辩三传之得失,演彼建旺相之理,讲变遁生克之端,释日辰分彼我之殊,论神将尊卑之异,能通幽玄之理,以类万物之情,故大可以知生定死,小而可以彰往察来。课之纪纲郭凝神之言备矣,象之吉凶,焦休文注之明矣。经注共五万余言,难为治生者,既以难鬻而不知学,盲瞽者欲相传敖而不知之,至于士大夫,又以其异端致远,恐泥亦鲜有所为者,(仆)弱冠以来,常为省部掾,奉公闲暇精力幸余,攻慕壬课,研穷躭玩,无舍寸阴,积三十余年,颇得中黄之旨趣,兵革以来,旧本煨尽,偏诣诸方求访残篇,用心考证诸书,攺正谬误,更用直言字句易读,义浅易识,庶几广传发扬术中美事,得好学之君子,复得览焉,虽非为大裨于世,亦岂可谓之无益,中间傥有违阙,凡与同志者加之斤斧,续而缀之亦有所望也,伦古斋后学燕人商皓仲贤书。

《鬼贼五变中黄经》,不著撰者,清光绪二十四年手抄本。术数,占卜,六壬系列。

部分预览

以上内容由网站用户发布,如有侵权,请联系我们立即删除!联系微信:D968111