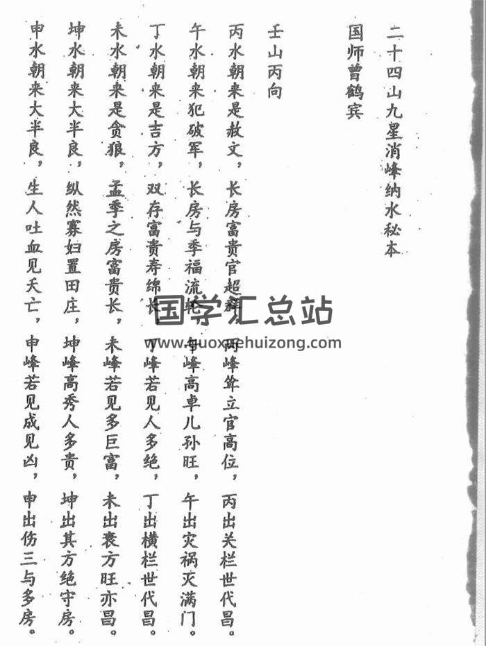
曾鹤宾《二十四山九星消峰纳水秘本》三僚杨公地理堪舆秘本2册共67页PDF电子书 百度网盘分享
资源信息
资源编号: 8216
文件大小: 共67页,14.8MB
其它: 无
资源目录
二十四山九星消峰纳水秘本1.pdf
二十四山九星消峰纳水秘本2.pdf
资源预览
以上内容由网站用户发布,如有侵权,请联系我们立即删除!联系微信:D968111
曾鹤宾《二十四山九星消峰纳水秘本》三僚杨公地理堪舆秘本2册共67页PDF电子书 百度网盘分享
二十四山九星消峰纳水秘本1.pdf
二十四山九星消峰纳水秘本2.pdf